Ваш город Екатеринбург?

Оптический газоанализатор

ndt 78 просмотров

Оптический газоанализатор – это прибор, работа которого основана на применении зависимости изменений в оптических свойствах анализируемых смесей газа и концентрации составляющего компонента, который нужно выявить. Чаще всего используются такие виды оборудования:

  • Инфракрасный;
  • Ультрафиолетовый;
  • Фотоколориметрический.

С помощью них можно анализировать разнообразные компоненты смесей газа, при этом организуя широкий диапазон измерений – от 0,001 до 100 процентов. Коэффициент точности составляет от 0,5 до 20 – зависит от применяемого способа анализа.

Колориметр (второе название оптического газоанализатора) может быть жидкостным и ленточным. Устройство для анализа жидкости с циклическим действии работает на основе окрашивания анализируемой жидкости после того, как к ней был добавлен специальный колометрический реагент. На интенсивность цвета влияет концентрация компонента. Этот метод отличается высоким уровнем чувствительности, так как анализируемый компонент накапливается, а также избирательности. Такой метод отлично подходит для определения небольшого количества примеси.

Концентрацию окрашенного компонента можно определить при помощи формулы Бугера-Ламберта-Бера:

Где  является оптической плотностью, — коэффициентом поглощения, а  — длиной кюветы.

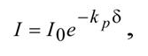
Для измерения рассеяния света, можно определить по формуле, которая совпадает с выражением закона Бугера-Ламберта-Бера:

Где kp является показателем рассеяния излучения, который зависит от уровня концентрации, размеров и форм частиц, коэффициента, характеризующего преломление материалы частицы и среды, δ – толщиной слоя вещества, I0 – начальной интенсивностью.

Ленточный анализатор

Действие ленточного анализатора основано на принципе сравнения уровня светового потока, который отражается от окрашенного после химических реакций пята на бумажных, тканевых лентах устройства и величины эталонного потока света. На интенсивности окраски пятен на лентах, которые пропитывают реактивом (вступают в реакцию с определенным компонентом смеси газы) влияет концентрация определяемого компонента. Колометрический способ имеет высокую чувствительности и избирательности, его используют для анализа небольшого количества примеси.

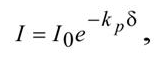
Для определения рассеяния света в среде дисперсного характера, следует воспользоваться формулой:

Где kp рассеяние излучения, которое зависит от уровня концентрации, размеров и форм частиц, коэффициента, δ – толщина вещества, I0 – начальный уровень интенсивности.

Ленточный колориметрический газоанализатор характеризуется весьма малым расходом рабочего раствора, легкостью достижения высокого уровня чувствительности. Но, так как поверхность ленты неоднородна и существуют определенные факторы, погрешности такого прибора немного выше чем жидкостного.

Подскажем и поможем с выбором оборудования

Напишите нам, если нужна помощь с выбором оборудования или есть вопросы по поставкам

Либо свяжитесь напрямую:
  • Кац Светлана
    Кац Светлана Менеджер ОПТового отдела
  • Ведерникова Ирина
    Ведерникова Ирина Менеджер ОПТового отдела